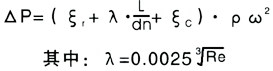
ΔP--阻力損失,Pa
λ--摩擦系數,無因次
Re-雷諾數,Re=(ω·dn)/u,無因次
ω-流體速度,m/s
ρ-流體密度,kg/m
μ-動力粘度,kg/m·s
u-運動粘度u=μ/ρ,m/s
L-當量直管段長度,m,類管件過濾器查閱下表“類管件過濾器公稱直徑與當量直管段長度關系”
D-類管件過濾器內徑,m
dn-當量直徑m,類管件過濾器取管件內徑"D",筒殼式過濾器取‘4s/c’
S-液體流通面積,m
C-液體濕周(濕潤周長),C=2X(筒體內徑+筒體高度)m
ξ-入口阻力系數,取1.1
ξ-出口阻力系數,取0.5
過濾器公稱通徑與當量直管段長度關系
| 公稱通徑DN |
50 |
80 |
100 |
150 |
200 |
當量直管段長度L
(×10mm) |
25∽30 |
18∽23 |
15∽20 |
22∽38 |
32∽40 |
| 公稱直徑DN |
250 |
300 |
350 |
400 |
450 |
當量直管段長度L
(×10mm) |
27∽43 |
58∽65 |
48∽85 |
60∽95 |
62∽98 |
1)對于‘Y型’等管件類過濾器,按下式計算:

2)對于‘筒殼’類過濾器,按下式計算: